Diethylene Triamine Penta (Methylene Phosphonic Acid) Pentasodium salt
CAS No. 68155-78-2
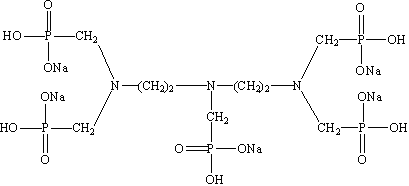
分子式 C9H23O15N3P5Na5 相對分子質量:683.2 結構式:

性能與用途
DTPMP·Na5是一種中性產品,DTPMP·Na5無毒,固體DTPMP·Na5極易吸潮易溶于水,在水處理中用作循環(huán)冷卻水和鍋爐水的阻垢緩蝕劑。
DTPMP·Na5可用做過氧化物穩(wěn)定劑、紡織印染用螯合劑、顏料的分散劑、化肥中微量元素攜帶劑、混凝土添加劑。此外,在造紙、電鍍和化妝品等方面也得到了廣泛應用。
固體DTPMP?Na5極易吸潮,方便運輸和在寒冷條件下使用。
技術指標
項目 | 指標 | |
外觀 | 琥珀色透明液體 | 灰白色至黃色粉狀固體 |
活性組分(以DTPMPA計)/% | 24.0~26.0 | ≥58.0 |
活性組份(以DTPMP·Na5計)/% | 30.0~32.6 | ≥69.1 |
總磷(以PO43-計)/% | 19.7~21.7 | 44.0-46.0 |
氯化物 (以Cl-計) /% | ≤5.0 | 10 |
pH值(1%水溶液) | 6.0~8.0 | 6.0-8.0 |
密度(20℃)/g·cm-3 | ≥1.25 | -- |
Fe含量(以Fe計) /mg·L-1 | ≤20.0 | 40 |
包裝與貯存
DTPMP·Na5液體用料塑桶包裝,每桶25Kg或250Kg,DTPMP·Na5固體用內襯聚乙烯袋的50L塑料桶裝,每桶凈重20Kg,貯于室內陰涼干燥處,防潮,貯存期為十個月。
安全防護
DTPMP·Na5操作時注意勞動保護,應避免與皮膚、眼睛等接觸,接觸后用大量清水沖洗。